New Events

Wicklow

no events posted in last week

Blog Feeds

Anti-Empire

Anti-Empire

offsite link North Korea Increases Aid to Russia, Mos... Tue Nov 19, 2024 12:29 | Marko Marjanovi?

offsite link Trump Assembles a War Cabinet Sat Nov 16, 2024 10:29 | Marko Marjanovi?

offsite link Slavgrinder Ramps Up Into Overdrive Tue Nov 12, 2024 10:29 | Marko Marjanovi?

offsite link ?Existential? Culling to Continue on Com... Mon Nov 11, 2024 10:28 | Marko Marjanovi?

offsite link US to Deploy Military Contractors to Ukr... Sun Nov 10, 2024 02:37 | Field Empty

Anti-Empire >>

The Saker

Indymedia ireland

Indymedia Ireland is a volunteer-run non-commercial open publishing website for local and international news, opinion & analysis, press releases and events. Its main objective is to enable the public to participate in reporting and analysis of the news and other important events and aspects of our daily lives and thereby give a voice to people.

offsite link Fraud and mismanagement at University College Cork Thu Aug 28, 2025 18:30 | Calli Morganite
UCC has paid huge sums to a criminal professor
This story is not for republication. I bear responsibility for the things I write. I have read the guidelines and understand that I must not write anything untrue, and I won't.
This is a public interest story about a complete failure of governance and management at UCC.

offsite link Deliberate Design Flaw In ChatGPT-5 Sun Aug 17, 2025 08:04 | Mind Agent
Socratic Dialog Between ChatGPT-5 and Mind Agent Reveals Fatal and Deliberate 'Design by Construction' Flaw
This design flaw in ChatGPT-5's default epistemic mode subverts what the much touted ChatGPT-5 can do... so long as the flaw is not tickled, any usage should be fine---The epistemological question is: how would anyone in the public, includes you reading this (since no one is all knowing), in an unfamiliar domain know whether or not the flaw has been tickled when seeking information or understanding of a domain without prior knowledge of that domain???!

This analysis is a pretty unique and significant contribution to the space of empirical evaluation of LLMs that exist in AI public world... at least thus far, as far as I am aware! For what it's worth--as if anyone in the ChatGPT universe cares as they pile up on using the "PhD level scholar in your pocket".

According to GPT-5, and according to my tests, this flaw exists in all LLMs... What is revealing is the deduction GPT-5 made: Why ?design choice? starts looking like ?deliberate flaw?.

People are paying $200 a month to not just ChatGPT, but all major LLMs have similar Pro pricing! I bet they, like the normal user of free ChatGPT, stay in LLM's default mode where the flaw manifests itself. As it did in this evaluation.

offsite link AI Reach: Gemini Reasoning Question of God Sat Aug 02, 2025 20:00 | Mind Agent
Evaluating Semantic Reasoning Capability of AI Chatbot on Ontologically Deep Abstract (bias neutral) Thought
I have been evaluating AI Chatbot agents for their epistemic limits over the past two months, and have tested all major AI Agents, ChatGPT, Grok, Claude, Perplexity, and DeepSeek, for their epistemic limits and their negative impact as information gate-keepers.... Today I decided to test for how AI could be the boon for humanity in other positive areas, such as in completely abstract realms, such as metaphysical thought. Meaning, I wanted to test the LLMs for Positives beyond what most researchers benchmark these for, or have expressed in the approx. 2500 Turing tests in Humanity?s Last Exam.. And I chose as my first candidate, Google DeepMind's Gemini as I had not evaluated it before on anything.

offsite link Israeli Human Rights Group B'Tselem finally Admits It is Genocide releasing Our Genocide report Fri Aug 01, 2025 23:54 | 1 of indy
We have all known it for over 2 years that it is a genocide in Gaza
Israeli human rights group B'Tselem has finally admitted what everyone else outside Israel has known for two years is that the Israeli state is carrying out a genocide in Gaza

Western governments like the USA are complicit in it as they have been supplying the huge bombs and missiles used by Israel and dropped on innocent civilians in Gaza. One phone call from the USA regime could have ended it at any point. However many other countries are complicity with their tacit approval and neighboring Arab countries have been pretty spinless too in their support

With the release of this report titled: Our Genocide -there is a good chance this will make it okay for more people within Israel itself to speak out and do something about it despite the fact that many there are actually in support of the Gaza

offsite link China?s CITY WIDE CASH SEIZURES Begin ? ATMs Frozen, Digital Yuan FORCED Overnight Wed Jul 30, 2025 21:40 | 1 of indy
This story is unverified but it is very instructive of what will happen when cash is removed
THIS STORY IS UNVERIFIED BUT PLEASE WATCH THE VIDEO OR READ THE TRANSCRIPT AS IT GIVES AN VERY GOOD IDEA OF WHAT A CASHLESS SOCIETY WILL LOOK LIKE. And it ain't pretty

A single video report has come out of China claiming China's biggest cities are now cashless, not by choice, but by force. The report goes on to claim ATMs have gone dark, vaults are being emptied. And overnight (July 20 into 21), the digital yuan is the only currency allowed.

The Saker >>

Lockdown Skeptics

The Daily Sceptic

offsite link Wind and Solar Farms Set to Take Over Up to 9% of Total UK Land Area Wed Oct 29, 2025 07:00 | Ben Pile
The UK Government's plans for renewable energy almost beggar belief, says Ben Pile: hundreds of gigawatts of wind and solar farms that will cost billions and take over up to 9% of the total land area of the UK.
The post Wind and Solar Farms Set to Take Over Up to 9% of Total UK Land Area appeared first on The Daily Sceptic.

offsite link News Round-Up Wed Oct 29, 2025 01:36 | Richard Eldred
A summary of the most interesting stories in the past 24 hours that challenge the prevailing orthodoxy about the ?climate emergency?, public health ?crises? and the supposed moral defects of Western civilisation.
The post News Round-Up appeared first on The Daily Sceptic.

offsite link Afghan Arrested Over Fatal Stabbing of Dog Walker Entered UK Illegally in Back of Lorry Tue Oct 28, 2025 19:30 | Will Jones
An Afghan national arrested after a dog walker was killed in a triple stabbing entered the UK illegally in the back of a lorry.
The post Afghan Arrested Over Fatal Stabbing of Dog Walker Entered UK Illegally in Back of Lorry appeared first on The Daily Sceptic.

offsite link All We?ve Learned About the Covid Vaccines Just Shows They Worked as Designed Tue Oct 28, 2025 17:26 | Dr David Bell
Nothing we've learned about the Covid vaccines since 2020 should be a surprise, says Dr David Bell. Spreading throughout the body, hanging around for weeks, failing to stop infection ? this is how they were designed.
The post All We’ve Learned About the Covid Vaccines Just Shows They Worked as Designed appeared first on The Daily Sceptic.

offsite link Farage Would Be Better PM Than Starmer, Voters Say for First Time Tue Oct 28, 2025 15:46 | Will Jones
Keir Starmer?suffered a fresh blow today as polling showed Nigel Farage is voters' preferred choice as Prime Minister for the first time and the Labour Party hit a new low of its own.
The post Farage Would Be Better PM Than Starmer, Voters Say for First Time appeared first on The Daily Sceptic.

Lockdown Skeptics >>

Voltaire Network
Voltaire, international edition

offsite link Will intergovernmental institutions withstand the end of the "American Empire"?,... Sat Apr 05, 2025 07:15 | en

offsite link Voltaire, International Newsletter N?127 Sat Apr 05, 2025 06:38 | en

offsite link Disintegration of Western democracy begins in France Sat Apr 05, 2025 06:00 | en

offsite link Voltaire, International Newsletter N?126 Fri Mar 28, 2025 11:39 | en

offsite link The International Conference on Combating Anti-Semitism by Amichai Chikli and Na... Fri Mar 28, 2025 11:31 | en

Voltaire Network >>

Unfair Dismissal of Parish Secretary BRAY CO.WICKLOW

category wicklow | worker & community struggles and protests | press release author Monday April 28, 2008 20:04author by Justice 4 Margaret - Justice 4 Margaretauthor email justice4margaret at live dot com Report this post to the editors

The story behind the story

What has been happening to date in the long running saga between a local Parish Priest in an Unfair Dismissal case and the Parish Secretary. Details had until this week been kept from the local Parishioners who have a right to know what is going on in their Church in Bray, County Wicklow.

INFORMATION FOR PARISHIONERS OF OUR LADY QUEEN OF PEACE
EMPLOYMENT APPEALS TRIBUNAL (Unfair Dismissal)

Claim of: Ms. Margaret O’Hehir
Against: Fr. Larry White PP Our Lady Queen of Peace Parish

DETERMINATION
“Recognising the unusual circumstances of the case the Tribunal find that the procedure, used by the respondent to
dismiss the Claimant was not in accordance with the Industrial Relations Acts. The Claimant tendered her resignation in May 2005 but the employer instead of dealing with it at that time
believed that he was entitled to retain it and act upon it at a later date of his choosing. This he purported to do in September 2005. At a meeting on 16th September 2005 he told the Claimant that he was accepting her resignation. Some days later he changed this to suspension without pay. A short time after this he changed the suspension without pay to with pay. In January 2006 he stopped paying the Claimant. In June 2006 he dismissed her. This in the opinion of the Tribunal was an unfair procedure”.

As the dismissal was procedurally unfair—”The Tribunal award the Claimant the sum of €1560 (being the equivalent of four weeks’ pay), as the minimum award allowed under the Unfair
Dismissals Acts, 1997 to 2001.

Sealed with the Seal of the Employment Appeals Tribunal this 24th day of October 2007. P.J. O’Leary (CHAIRMAN).
In spite of the Tribunal’s decision the Respondent Fr. Larry White PP has appealed the above decision to the Circuit Court for a hearing and it is now on a waiting list.

In spite of the Tribunal’s decision the Respondent Fr. Larry White PP has appealed the above decision to the Circuit Court for a 4 day hearing and it is now on a waiting list.
********************************************************************
Laurence White—Employer and Respondent
Mrs. Margaret O’Hehir—Employee and Claimant

Regarding complaint to The Rights Commissioner by Claimant Ms. Margaret O’Hehir “The claimant seeks redress for the alleged breaches of the Terms of Employment Information Act”.

RECOMMENDATION OF RIGHTS COMMISSIONER
I have carefully considered the evidence as presented by the parties. There is no doubt that there was an original written agreement between the parties and that there were discussions in amending the documentation to take care of the enhanced rate of pay and also the number of hours that would be available for work under the contract.
However the Terms of Employment (Information) Act 1994 states in section 3, subsection (4) that such statement furnished by an employer to an employee under section 3 (subsection (1)0 should be signed and dated by the employer and a copy (subsection 3(5)) retained during the period of the employees employment and period of 1 year thereafter.
It is evidenced that there is no signed copy qualifying the existing period of employment nor is there a written letter indicating that the contract under discussion for amendment was being enacted by the respondent giving the usual 1 month notice.

I therefore find that the claimant presented a valid complaint and award her the sum of €300 in full and final settlement of breaches under the Terms of Employment (Information) Act, 1994.
Signed Mark A. McGrath
Rights Commissioner 15th June 2007.

*********************************************************
It should be noted that legal fees for Fr. White are being paid for by you the Parishioner or the Parish unlike Ms. O’Hehir who has to foot her own legal bills.

i.e. Fr. White announced before all collections at Masses this weekend that his fees were paid by Parish Insurance BUT the premiums for the Parish insurance are paid out of the contributions of the Parishioners for the running of the Parish!!!
*********************************************************
In both cases to date an award was made in favour of the Claimant although the second award is disputed by Fr. White and as stated an appeal has been lodged against it.

It should be noted that a third case is awaiting a date for hearing before THE EQUALITY TRIBUNAL in Dublin in
regard to serious complaints made to the Employer while the
Claimant was still in employment and which were not dealt with satisfactorily.

Further notice will issue from our group with the results of this hearing in due course.

Sincere thanks to the many hundreds of Parishioners who signed the Petition for Margaret’s Reinstatement. A Mass has already been offered for their intentions. Thanks to all for your ongoing support for Margaret over the past two and a half years in her quest for justice.

For those who are not aware of it—as a Church going Parishioner in Queen of Peace since 1989 Margaret was also removed from both the Parish Council and Liturgy Groups because of the employment dispute which should not have
affected her rights or standing as a Parishioner. She was also refused permission to be a Special Minister of the Eucharist. Parishioners hear the Parish is ALL INCLUSIVE but that is not the case—you can be treated as ‘a leper’ overnight.

This Newsletter is sponsored and distributed by a group of concerned church going Catholic Parishioners and
supporters and is being distributed by them to highlight the continuing injustice towards our friend Margaret who was a highly dedicated Parish Secretary serving our Parish for over 4 years and was treated in high regard by all who know her we take grave exception as to the way our Parish has been
demoralised and the truth has been suppressed.

*******************************************************************
JUSTICE FOR MARGARET

He died for ALL of us—not for the CHOSEN FEW.

Why then does Queen of Peace exclude those they feel are not ‘in favour’?

*******************************************************************

Email: justice4margaret@live.com

Dyann, Marie, Ann, Tracey, Mary, Kevin, Jeannie, Pauline,
Betty, Alan, Mark, Tony, Robert, Stephen, Billy, + others.

Related Link: http://www.queenofpeace.ie/index.htm
author by Bray Headpublication date Fri May 09, 2008 10:05author address author phone Report this post to the editors

Unfair dismissal is a most unjust act. We are all behind Margaret. God bless her.

author by Bray Headpublication date Fri May 09, 2008 10:07author address author phone Report this post to the editors

Also, Margaret is like Hillary Clinton for never giving up. She is an inspiration for our community.

author by Justice 4 Margaret group members - Justice 4 Margaretpublication date Fri May 09, 2008 11:34author email justice4margaret at live dot comauthor address author phone Report this post to the editors

http://www.ireland.com/newspaper/special/2000/fginquiry...x.htm

Above is the link on the internet to lobbying by Fr. Larry White to have rezoning in Quarryvale when he was based there.

Inquiry into payments made
to Fine Gael Representatives
Committee of Inquiry into payments made to Fine Gael Representatives on Dublin Corporation and Dublin County Council by builders, developers or their agents since 20th June 1985 and the motives, circumstances and considerations thereto pertaining
FINAL REPORT SUBMITTED TO JOHN BRUTON T.D. LEADER, FINE GAEL ON FRIDAY, MAY 12th, 2000
(This report incorporates in full the interim report delivered to John Bruton, T.D., Leader of Fine Gael on May 8th, 2000)
CHAIRMAN: JAMES NUGENT, S.C.
12th May, 2000

8. Quarryvale:
One of the matters focussed upon by this inquiry has been the re-zoning of the lands at Quarryvale. An impression has been created that the issue was a simple one: Did you support the planners (who were the experts) or did you support the developer (who stood to make millions). The Committee has not sought to conclude who was right or wrong on this issue. It is clear however, that there were strong legitimate reasons for voting for and against such motions. Many of the councillors had been heavily canvassed by local interest groups, clergy, women’s groups etc. in an effort to elicit their vote for re-zoning. An indication of the nature and the intensity of this lobbying is demonstrated in a letter sent by two parish priests in the area to many councillors prior to the vote. The letter speaks of the Quarryvale development as "the single greatest hope" for the area and urges the Councillors to support the development proposals. The full text of this letter is set out in Appendix II The Committee has therefore worked from the premise that support for the re-zoning of Quarryvale is not, in itself, evidence of corruption.

Appendix II
From the priests of Neilstown and Rowlagh/Quarryvale
15th December, 1992
Dear Councillor,
We write to you as the Priests working with the communities in North Clondalkin, comprising the churches of St. Peter Apostle, Neilstown, The Immaculate Heart of Mary, Rowlagh/Quarryvale and Wheatfield/Oatfield
As a public representative, you will know that the North Clondalkin area now has over 20,000 of a population. Despite, this size there is a great feeling of isolation because of the lack of facilities for our communities. We have had a long battle over the years for the provision of such basic things as Primary Schools and Post Primary Colleges.
Dublin County Council have provided basic community facilities for Neilstown/Rowlagh/Quarryvale for the wonderful community efforts at fund raising and the input of a fantastic team of people these community facilities simply could not remain open.
For such a large community, with so many young children and teenagers, the lack of shopping and community facilities is a dreadful indictment of our system. to-date. Young mothers in particular, have to travel to the city centre, or to Tallaght for their weekly shopping. Many families do not possess cars and the public transport network is unable to take the. volume of people, who have to travel each week for their normal, basic requirements.
You will recall that the community of North Clondalkin faced a number of tragedies in recent years. Nonetheless, the people, here have tremendous spirit and despite the details outlined in the Task Force Report and the North Clondalkin Development Report, there is an underlying optimism that we as a community can get a fair deal and make progress. If we don't this area will fast become a wasteland.
The provision of decent facilities for North Clondalkin is the single greatest hope for this area. We are aware that a number of meetings have been held out here over the past number of months. It is amazing the hope that such meetings generated and the people of the area now look to the elected members of Dublin County Council to give the go-ahead for some development here.
We know that you will be discussing this area at your meeting on the 17th December next. A real ray of hope now exists for the communities we are serving. In the interest of a giant step forward we are asking yourself and your colleagues to support what is proposed for Quarryvale and hopefully real work, and jobs, will follow in the not too distant future. Similarly, the proposed stadium at Neilstown will bring fantastic benefits to the area, together with the proposals for Ronanstown.
We are aware that you get a lot of reading material but we would ask you, if possible, to take time to read the Inter-Departmental Task Force Report which documents the horrendous circumstances in which the communities here have to live.
Thank you for your patience,
God Bless,
Fr. Brendan Dunning, PP,
Neilstown Parish.
Fr. Larry White PP,
Assistant Priest,
Quarryvale

AS EVERYONE KNOWS THE NICE THINGS ASKED FOR IN THE LETTER NEVER HAPPENED BUT MORE SINISTER CHECK OUT THE NEXT POSTING AND LINK SHOWING THAT FR. WHITE HAD 'MEETINGS WITH AND PHONE MESSAGES TO FRANK DUNLOP'.

Related Link: http://www.ireland.com/newspaper/special/2000/fginquiry/index.htm
author by Justice 4 Margaret group members - Justice 4 Margaretpublication date Fri May 09, 2008 11:47author email justice4margaret at live dot comauthor address author phone Report this post to the editors

http://www.flood-tribunal.ie/images/SITECONTENT_761.pdf

If you check out the above link what is RELEVANT is what you will read on PAGE 2 of the 84 pages - we don't want to paste the 84 page document here.

As an introduction it is the Mahon Tribunal resuming on 1st November 2007 at 10 a.m. and Ms. Dillon is questioning Mr. Frank Dunlop.

The item is produced by Premier Captioining & Realtime Limited from Day 783 of hearings.

Page 2 Frank Dunlop was asked -

"You do have meetings recorded with a Fr. Larry White who was one of the local Priests at the Quarryvale area, isn't that right?"

Frank Dunlop's reply was - That's correct.

A later question asked Frank Dunlop

"I think you have telephone messages from Fr.Larry White, Mr. Colm McGrath, Mr. O'Callaghan, Mr. Fintan Gunne, Mr. Tom Hand, Mr. Liam Lawler, Mr.John O'Halloran, Mr. Ambrose Kelly, Mr.John Ahern, Mr.Jim Bolger, Mr. Theresa Ridge and Mr. Bertie Ahearn's office.

Mr. Dunlop replied Yes.

We would like to know what dealings a Catholic Priest should have had with Frank Dunlop - is corruption involved. Why was Fr. White not brought in to the Tribunal like everyone else to be questioned? Is he being protected as all Priests are by the Church?

We think serious questions have to be asked about his past before he came to Bray.

Related Link: http://www.flood-tribunal.ie/images/SITECONTENT_761.pdf
author by Justice 4 Margaret group members - Justice 4 Margaretpublication date Fri May 09, 2008 12:56author email justice4margaret at live dot comauthor address author phone Report this post to the editors

Two months before Margaret's dismissal she and another employee at the Church made a complaint to the Parish Priest about a male member (lay person) of staff having CM porn handwritten by him in filing cabinet on Church premises. Also complaint of harassment. Said material was seen and read by the PP. This was not dealt with in spite of promises and complaints from both female employees. The other employee went on to make a formal complaint in writing to FAS Loughlinstown and it is on record there and on record in files of FAS Quinsboro Road Bray. Margaret was dismissed two months after the complaint and it is the subject of a future Equality Tribunal Hearing. The male employee remained in employment at the Church for a year and 11 months after the complaints against him.
Attached is a letter from the Head Office of FAS in reply to complaint by Margaret who was dismissed. You will see that it states 'Since Mr. Lynch did not have responsibility for the Project prior to 2006, he is not aware of the allegation of pornography. HOWEVER THE FILE DOES MAKE REFERENCE TO THE FACT THAT THE ALLEGATIONS HAVE BEEN RESPONDED TO BY THE EMPLOYER AND THAT FOLLOWING LEGAL ADVICE, THE SUPERVISOR WAS SEVERELY REPRIMANDED.

OK the employer was Fr. Larry White, the pornography was there as this letter proves if it was necessary to take legal advice and 'severely reprimand' the Supervisor. Why did the man remain in employment amongst all young women on a CE scheme working on Church premises. He worked in the same office with them. Something is not right or just with this. One of the two 'whistleblowers' was put out of her job for this and other things she got to know about. She has never got any apology and is certain nothing was done about the reprimand until she went to FAS herself after her dismissal.

Fr. White broke other rules as letter states and proves. When Margaret who was Parish Secretary for over 4 years was dismissed he put a succession of FAS CE Community Employment staff into the full time job of Parish Secretary which again was breaking the rules. Margaret worked from 10 to 4 daily Monday to Friday. From the time Margaret was dismissed September 2005 until May 12, 2006 Fr. White flouted the rules of FAS and put a succession of CE staff into the office so he did not have to reinstate Margaret and the Government was paying their wages. Why does FAS continue to let the Parish run the scheme.

When writer of the letter Mr. Marius Cassidy was asked on phone why they did not deal with their staff supervisor who had the porn the reply was they hand over the money to the Parish and leave it up to them to run the scheme as they see fit. I don't think that is good enough and more people should be held accountable. After all the Irish Government is funding the programme and if its laws are being blatently broken and flouted those schemes should be held accountable and shut down.

Reply to complaint about porn in workplace
Reply to complaint about porn in workplace

author by Justice 4 Margaret group members - Justice 4 Margaretpublication date Fri May 09, 2008 14:50author email justice4margaret at live dot comauthor address author phone Report this post to the editors

Canon John MacMahon was Margaret's original employer at Our Lady Queen of Peace Parish in Bray. She worked for him for over a year until Fr. Larry White took over as Parish Priest.
Canon MacMahon knew of Margaret's dismissal yet gave her a glowing reference one month before the original date of her Unfair Dismissal hearing. Scan is attached. When Margaret spoke to Canon MacMahon the day she was dismissed Canon MacMahon turned pale and said 'This has taken the wind out of my sails. I am going to the Oratory to pray'. (This can be confirmed his phone number is on reference). He is still in touch with Margaret as she got a nice Christmas card from him December2007. This reference from Canon MacMahon was in Margaret's bundle of documents for the Tribunal hearing but was suppressed by Fr. White's legal team and the Tribunal did not get to see or read it. Why? Would it have made Fr. White look like a bully getting rid of the Secretary when she was perfectly capable of doing her job up to the date she was 'procedurally unfairly dismissed' as the Tribunal claimed?

Canon's reference given month before Unfair Dismissal Hearing
Canon's reference given month before Unfair Dismissal Hearing

author by Justice 4 Margaret group members - Justice 4 Margaretpublication date Fri May 09, 2008 15:24author email justice4margaret at live dot comauthor address author phone Report this post to the editors

Fr. Larry White Parish Priest and employer was in Israel for a 5 week course June 2005. On his return in July he presented the Parish Secretary Margaret with a gift of a specially made Tile (see scan). He said it was special because it depicted a bird and Secretary had birds as pets.
Reason for noting this is Fr. White gave Margaret other gifts and cards and complained that Margaret did likewise during the Tribunal hearing. Some other scans following.

Is there one rule for the Parish Priest giving gifts to the Secretary but another when a Secretary gives gifts to the Priest?

Gift from Fr. Larry White to Secretary shortly before dismissal
Gift from Fr. Larry White to Secretary shortly before dismissal

author by Justice 4 Margaret group members - Justice 4 Margaretpublication date Fri May 09, 2008 15:33author email justice4margaret at live dot comauthor address author phone Report this post to the editors

Why can the Parish Priest send cards to Secretary for birthday, new house move, etc., but it is not permitted that she return the favour?

Card sent to Secretary from PP not long before dismissal
Card sent to Secretary from PP not long before dismissal

author by Justice 4 Margaret group members - Justice 4 Margaretpublication date Fri May 09, 2008 15:46author email justice4margaret at live dot comauthor address author phone Report this post to the editors

Pictured are Limoges Madonna and Child statue given to Secretary by Fr. Larry White on his return from Lourdes.
The 2 vases he gave staff cash to purchase for her and they originally had fresh lillies in them and were for Margaret's house move in September 2004 and her birthday in March 2005 the year she was dismissed. The owl Fr. White gave to the Secretary in December 2004 while in Parish Office. It was produced at the Tribunal hearing but he denied ever seeing it before!!! He was the person who gave it the name 'Owl John' after his predecessor Canon John.

When Margaret gave Fr. White in return birthday Christmas gifts it was a major black point against her at the Tribunal. Why when gift giving was the norm?

Why one rule for a Priest and another for a Secretary?

Gifts from Parish Priest to Secretary
Gifts from Parish Priest to Secretary

author by Justice 4 Margaret group members - Justice 4 Margaretpublication date Fri May 09, 2008 15:56author email justice4margaret at live dot comauthor address author phone Report this post to the editors

In June 2005 a few months before her dismissal the Secretary did all the administration for the golf fundraiser and the Parish Priest arranged for her to be presented at the dinner with a huge bouquet of flowers and in fact gave her a lift back to her home with them later that night! Gift giving again was acceptable to come from the Priest but not to go in the other direction.

Are the rules made up by the Church as it suits them?

Flowers given to Secretary on behalf of  Parish Priest at golf fundraiser
Flowers given to Secretary on behalf of Parish Priest at golf fundraiser

author by Justice 4 Margaret group members - Justice 4 Margaretpublication date Fri May 09, 2008 16:26author email justice4margaret at live dot comauthor address author phone Report this post to the editors

Just showing the handwriting of Parish Priest Fr. Larry White on a birthday card and new home card given to the dismissed Secretary.

When Secretary gave him cards in return he kept them all in a box for 3 years to use against her at the Unfair Dismissal. Is that sick or sadistic? You the reader can judge but it is VERY STRANGE.

Most people throw out greeting cards after the event and certainly don't hoard them in a box to use them against someone as a reason to lose their job.

Had this Parish Priest an agenda for 3 years?

Cards signed by Parish Priest and given to Secretary before dismissal
Cards signed by Parish Priest and given to Secretary before dismissal

author by Justice 4 Margaret group members - Justice 4 Margaretpublication date Fri May 09, 2008 16:29author email justice4margaret at live dot comauthor address author phone Report this post to the editors

Yet another card from employer to employee.

Another card to Secretary from Fr. White
Another card to Secretary from Fr. White

author by Justice 4 Margaret group members - Justice 4 Margaretpublication date Sun May 11, 2008 16:15author email justice4margaret at live dot comauthor address author phone Report this post to the editors

Margaret as Secretary and member of the Parish Pastoral Council of Our Lady Queen of Peace who was elected in her capacity as a Parishioner in the Parish shown in photo with some of the other members including Parish Priest Fr. Larry White and Archbishop Diarmuid Martin who presented all members with candle on November 21st 2004 (Margaret's candle pictured next to the photo).

Fr. White demanded that Margaret step down from her Council membership because of her employment dispute and when there was no legal basis for this as her employment dispute should not have extended to her 'rights as a Church going Parishioner' the Parish Pastoral Council did not meet for several months to avoid Margaret's attendance and then was dissolved as the only way to put her out of the Council. Subsequently all other members received an invitation to rejoin but Margaret was excluded.

We think all will agree this was bully tactics in the extreme in what is supposed to be 'a caring all inclusive Parish with a heart' as the constitution of the Parish Council states. We feel the constitution should be re-written to state Parish lepers need not apply!

Margaret was similarly removed from the Parish Liturgy group in which she was also its Secretary and did the Minutes for the other members as she had done for 18 months in the Parish Council before being dismissed.

She was also refused permission to be a Special Minister of the Eucharist in spite of doing Eucharistic adoration at Our Lady Queen of Peace for 15 years as can be confirmed by the other members doing the adoration and she has also been a member of the Pioneer Association of the Sacred Heart for over 40 years. She appealed the decision of Fr. Larry White to Fr. Enda Lloyd PP Vicar Forane to no avail - there is no right of appeal in the Church.

Photo shows the late John Megannety RIP a tireless worker at the Parish all his life.

Secretary as Parish Council member before being dismissed from Council and job
Secretary as Parish Council member before being dismissed from Council and job

author by Justice 4 Margaret group members - Justice 4 Margaretpublication date Sun May 11, 2008 16:26author email justice4margaret at live dot comauthor address author phone Report this post to the editors

When you are one of the IN crowd in Our Lady Queen of Peace Parish you are included in high profile events like dinner with the Papal Nuncio and Bishop Martin Drennan as these photos depict. You will see Parish Secretary Margaret included in such high profile occasions. The tide can turn instantly at the Parish when you are out of favour with the Parish Priest and you are no longer welcome in Parish groups you were a member of or even spoken to any longer although you remain a Church going Parishioner. The supporters of the Parish Secretary have witnessed the snubs for themselves that is why many will not show their support openly - they do not want to join Margaret's leper colony and also be excluded.

Invited to Papal Nuncio dinner (when you are still in favour)
Invited to Papal Nuncio dinner (when you are still in favour)

author by Justice 4 Margaret group members - Justice 4 Margaretpublication date Sun May 11, 2008 16:42author email justice4margaret at live dot comauthor address author phone Report this post to the editors

It will be 3 years in September since you started your quest for justice. Time must be dragging on but we know you have the heart and the will to see this through to the end and you have a great support network now and wonderful legal team so hang in there, head up, read this little gift any time you need it. (you don't need a little elastic band to wear to remind you like you know who).

We will be celebrating the 3rd Anniversary in September so watch this space!!! Further postings to come.

Justice for Margaret support gift - we are with you all the way
Justice for Margaret support gift - we are with you all the way

author by Justice 4 Margaret group members - Justice 4 Margaretpublication date Sun May 11, 2008 19:09author email justice4margaret at live dot comauthor address author phone Report this post to the editors

This photo appeared in the Queen of Peace Christmas magazine in December 2004. It shows Parish Secretary Margaret who had then been working at the Parish for over 3 years and her then employer Fr. Larry White Parish Priest. Photo was taken outside the Parish Centre which was appropriate to publish in the Parish magazine as that is where the Secretary's Office was located.

Copyright of photo belongs to the Secretary as she was the unofficial volunteer Parish Photographer and took all the Parish photos with her own camera using her own equipment etc. and donated her time to do this and to produce the weekly Parish Newsletter in her own home on a Thursday evening.

Anyone can NOTE it is Fr. White's arm around Parish Secretary and not vice versa as false tales and rumours have been spread throughout the Parish.

Parish Secretary and Parish Priest + 2004 Christmas Parish Magazine
Parish Secretary and Parish Priest + 2004 Christmas Parish Magazine

author by Justice 4 Margaret group members - Justice 4 Margaretpublication date Sun May 11, 2008 19:25author email justice4margaret at live dot comauthor address author phone Report this post to the editors

The Parish Priest extended the Parish Secretary's Office to twice the size. He told Secretary Margaret as she would be working there she could pick the furnishings and carpet and wall colours as she would be the one looking at them. Margaret picked the coffee table and 3 chairs seen in photo plus had 2 walls painted in terrocotta her favourite colour and the other two in cream to match the chairs and carpet she had chosen.

Two weeks prior to her dismissal from her job by the Parish Priest he asked her if she wanted any other items for the office and a new office chair was bought and assembled by Fr. White in the office.

Why was this done two weeks before terminating her employment? (There is verbal proof of this statement for anyone to hear and also the same relating the fact that Margaret WAS A HIGHLY DEDICATED SECRETARY - Fr. White's own words).

Parish Office Our Lady Queen of Peace
Parish Office Our Lady Queen of Peace

author by Justice 4 Margaret group members - Justice 4 Margaretpublication date Sun May 11, 2008 19:36author email justice4margaret at live dot comauthor address author phone Report this post to the editors

Photo shows how times can change when you are out of favour with the Church.

Photos show Parish Secretary welcome at twin Parish Bugisi dinner at the Parish Centre with the photo showing Secretary Fr. James and Parish Priest Fr. Larry White.

Other photo shows young people in the Parish at summer Garden Fete Fundraiser where Secretary was volunteer photographer and Fr. White.

When staff are Parish where normal friendly people
When staff are Parish where normal friendly people

author by Daithipublication date Tue May 13, 2008 22:46author address author phone Report this post to the editors

I am not from the Bray area but have read this story in some of the daily press at different stages and none of the stuff here has been mentioned, the secretary has just been portrayed as mad . How can the media ignore all of what is here?? Why has the FAS thing not been investigated?

author by Justice 4 Margaret group members - Justice 4 Margaretpublication date Thu May 15, 2008 15:57author email justice4margaret at live dot comauthor address author phone Report this post to the editors

Attached is item that appeared in May 14, 2008 issue of Bray People Newspaper. Newsletter distributed to 2500 homes in Our Lady Queen of Peace Parish and some others areas besides stated that the legal fees for Fr. White were paid by the Parishioners or the Parish but that Ms. O'Hehir had to foot her own legal bill. (€26,000 to date).

Fr. White interrupted all weekend Masses to state this was not the case (and it is repeated here in the paper) saying the legal fees come out of the Parish's general insurance.

However the FACT of the matter is that the Parishioners ARE still in a round about way paying in some manner as the outdoor collection in the Church is for the 'day to day running of the Parish' which includes the hefty premium for the Parish insurance which over 3 years ago was about €8000 or more per annum so whatever the premium is now the Parishioners would have paid that. Parishioners were ever consulted on the fact that the Parish was taking legal action in their name as 'The Queen of Peace Parish' the Parish being the people of the Parish and the Parishioners and not the Parish Priest.

The original legal cases for Unfair Dismissal and being given no written Contract by Fr. Larry White for 3 years while working at the Parish in spite of endlessly requesting same, were taken against Fr. Larry White as Parish Priest who was the one person responsible for dismissing Ms. O'Hehir yet his legal team have added in the Parish name which basically is the Parish community and its people. As the majority of the Parishioners would like to see Ms. O'Hehir reinstated in her job and so many have signed a petition stating this they are not happy with their names as a Parish being used in this legal appeal against the former Parish Secretary.

Bray People Comment May 14, 2008
Bray People Comment May 14, 2008

author by Justice 4 Margaret group members - Justice 4 Margaretpublication date Thu May 15, 2008 16:08author email justice4margaret at live dot comauthor address author phone Report this post to the editors

When Parish Secretary would not step down and leave Parish Council at the request of the Parish Priest who had no grounds to make such a request as her employment dispute should not affect her rights as a Church going Parishioners in the Parish and she refused to step down and leave the Parish Council was dissolved and all 20 members put out in order to get rid of the former Parish Secretary. (True Bully tactics in modern day Ireland).

All the other members got an invitation to rejoin but several of them were quite disgusted by the carry on and did not rejoin but the core supporters of Fr. White of course were back faster than you could say jack flash and they still run the Parish.

Should any Parish be a dictatorship?

author by Justice 4 Margaret group members - Justice 4 Margaretpublication date Thu May 15, 2008 16:28author email justice4margaret at live dot comauthor address author phone Report this post to the editors

Shows Parish Secretary Margaret O'Hehir was commissioned by Archbishop Diarmuid Martin like everyone else but was forced out by the bully tactics of dissolving the Parish Council when she refused the Parish Priests request to step down as there was no legal basis to do so. Her Council membership like her membership of the Parish Liturgy Group (from which she was also dismissed) should have had no connection with her employment dispute and her rights as a Church going Parishioner in the Parish. There was in fact a member on the Council who is not even in the actual Parish but is in the Parish of The Most Holy Redeemer in Bray yet they were accepted. They remain on the new Council.

Member of Parish Council before being dismissed
Member of Parish Council before being dismissed

author by michael bradshaw - old dog for the road.anti collusionpublication date Mon May 26, 2008 03:03author email survivor at live dot ieauthor address 876-4000author phone 086Report this post to the editors

how dare that little nerd insult margaret under the guise of a white collar ,
what has happened to drive an already dreadful unchristian illegal act to
a point of potentially explosive carnage seems to say the obvious,
the queen of peace and its principal director are in serious moral trouble,
or have the once proud 'chapel on the hill' memories just what it is,memories?
has the word from the top been delivered to so say to the remainder of staff etc
to 'do as i say and not as i do' and is the word a veiled threat to stay in line until
we diagnose you from time to time until our time suits to rid us of you?
i fear for margaret as i know the damage collective constructive critisism can
be used for the greater good of community development in a heartless manner
as has been proven in this horrendous nightmare case of constructive nod and
wink era which until it knocks on our door really means nowt at all at all.
is margaret a victim of this unscrupulous method of demeanour ,presided over
by a 'priest' whose ulteriour motive may be to 'place' other 'pillars of society' in a
cushy handy number due to the amount of cash pontial pillars families have
donated over periods of time to larry and peggys benevolent fund.
shoot from the hip dear members of this well meant comittee, i can assure you
that is what is now required. enough nonsence has derived out of this contradictory
dilemna. put yourselves in margarets dilemna, and ask yourselves what would i do.
Michael Bradshaw. Dubln 0868764000

author by Bellapublication date Fri Jun 06, 2008 10:22author address author phone Report this post to the editors

I think it is sad to see such uncharitable acts on the internet. Our Lord asks us to love our enemies, do good to those who persecute you and yet you have spoken ill of your Priest. I know pehaps there may have been an injustice done and there are many of these in the Church as we know but we must be careful to remember Jesus words on the Cross, forgive...forgive. It is difficult but with Gods help it is possible. I hope that you seek to remove all this from the internet and go and pray for your Priests and ask forgiveness. God bless you

author by justice4margaret - justice4margaretpublication date Fri Jun 06, 2008 17:14author email justice4margaret at live dot comauthor address author phone Report this post to the editors

It is the Parish Priest who should be asking for forgiveness not the Secretary.

The power of his position does not give him the right to do what he did and hide behind his collar which incidentally he does not wear except to appear in Court to give him status.

How dare he use his position not alone to dismiss someone from their job but also from their Church groups in a Parish they were in for over 15 years before he even came on the scene. This man thinks he is GOD and as such can get away with anything and do anything he likes to anyone he happens to focus on without fear of reprimand by either his Bishop or Archbishop. The Bishop and Archbishop know all about what has gone on and is going on and have pushed it under the carpet throwing money at the Parish Priest to continue to persecute the Secretary who has a right to fight to reinstate her good name and reputation which were wrongly taken from her. If there was any justice in this world she would also be reinstated in her job. If the Parish Priest had either a conscience or a heart he would not have done what he did and continues to do and would have practiced what he preaches daily from the altar reconciliation which Secretary tried several times to be informed it was intimidation and harassment. There is no talking to a bully - they have their mind set and being a trained psychotherapist can be very subtle in their bullying.

It is time it was highlighted. There is more than physical abuse within the Church. This was mental abuse and bullying and is still going on almost 3 years later.

A person who has taken legal action against another - man of the cloth or otherwise - when it was justified has nothing to ask forgiveness for it is their right. Too many people let the bullies of this world away with too many things. It is questionable that the Secretary was the first VICTIM of this Parish Priest but maybe she was the first one who fought back and stood up for herself and that is what the Parish Priest does not like.

The Tribunal found that the dismissal procedure was unfair in Labour Law if you read it above it reads like something from a Laurel & Hardy film - yet the Parish Priest is appealing their decision to the Circuit Court and wants them to reverse it. That shows the 'above the law of the land' arrogance involved here. They cannot reverse the laws written in the statue books for a Parish Priest or anyone else - what did we say earier about this man thinking he is GOD!!!!!!!!!!!!!!!!!!!!

This will never go away until there is justice. It will not be removed from the Internet as people deserve to hear what is still going on within the Church. Priests are so scare they have to keep the few they have bad eggs rotten apples and anyone else as there is nobody else to replace them. In another job they would be out the door.....................................in another job their superiors would investigate......................in another job their superiors would ask questions not say ok all us boys stick together no matter what..................................it seems to be the only job for life still around..........................Parish Secretaries can be dumped on a whim of the Parish Priest.

Priests who act like this have the Churches empty nowadays. They have left a trail of lapsed Catholics all over the place. Because of falling numbers and lowered income they will soon be like the Dodo Bird a prehistoric memory and maybe that is no bad thing with the corruption there in the Church now.

This Secretary has amongst relatives two Aunts who were Nuns one in the African Missions and another a Nursing Sister in Ireland, 2nd Cousins who were Brothers in India, Nun in UK and a Canon in Dublin. All of these God fearing holy souls all now in Heaven and gave their lives to the Church as was intended on their Ordinations and Professions etc. Only for that and what the Faith means to the Secretary she would also now be a lapsed Catholic but she is still hanging in there forgetting about the 'middle man' and praying straight to 'the Boss upstairs'.

It will be interesting to see how the Equality Tribunal hearing pans out before the end of the year. (Possibly September) It should be reported in the media in due course. Maybe then some justice will be done about what was 'condoned in the workplace' by the Parish Priest.

We rest our case.

author by Justice 4 Margaret group members - Justice 4 Margaretpublication date Sat Jun 21, 2008 00:33author email justice4margaret at live dot comauthor address author phone Report this post to the editors

Looks like the Equality Tribunal hearing should be taking place by the years end. Tribunal is just waiting for response from Parish Priest (if any) by July 17 and then the date will be set for the hearing in 3 to 6 months time.

*******************************************************************

The appeal by Fr. White regarding the Unfair Dismissal could run into 2009 as next hearings in Circuit Court begin on October 28 and only run for 3 weeks and the case is on a waiting list.

*******************************************************************

Outcome of both hearings will appear here in due course.

******************************************************************

Thanks to the many Parishioners within the Queen of Peace Parish for your continued support for Margaret. Your prayers and Masses offered are appreciated.

*****************************************************************

THE SUPPORT OF THOSE AROUND THE COUNTRY

WHO WROTE LETTERS OF SUPPORT LAST YEAR WHEN

ORIGINAL STORY WAS IN THE NATIONAL PRESS IN OCT.

2007 WAS MUCH APPRECIATED AND ALSO EMAILS MORE

RECENTLY IN REPLY TO THIS SITE.

~~~~~~~~~~~~~~~~~~~~~~~~~~~~~~~~~~~~~~~~~~~~~~~

author by Patricia McCaffertypublication date Tue Jul 01, 2008 00:01author email pmccdesign at yahoo dot ieauthor address author phone Report this post to the editors

Never give up the fight Margaret, this Priest must think he is above the law.

I read a number of comments as to Why FAS did not investigate the complaint? From another case (regarding job-fixing in FAS Northwest Sligo, Donegal a relation of Minister Pat the Cope Gallagher got a job after failing tests for the job), I know that the only way for matters to be investigated is to deal directly with the Minister of Enterprise, Trade and employment who is ultimately responsible for FAS and their procedures, currently Tanaiste Mary Coughlan, request the Minister to get FAS to do a Report that ultimately will help your case. If the Minister does not investigate then get a meeting with her dont get fobbed off by her spokesperson Sean Perry. Or go and meet with the Taoiseach directly, especially if there are any Media cameras around.

Best of LUCK.

author by Justice 4 Margaret group members - Justice 4 Margaretpublication date Tue Jul 01, 2008 08:43author email justice4margaret at live dot comauthor address author phone Report this post to the editors

We read your contribution with interest and will follow up your suggestions. Thank you for the good wishes.

author by Justice 4 Margaret - Justice 4 Margaret Grouppublication date Sun Jul 06, 2008 13:43author email justice4margaret at live dot comauthor address author phone Report this post to the editors

The attached letter went through all Queen of Peace Parish doors today 6th July 2008.

It should be noted it states "IF YOU WOULD LIKE TO HAVE YOUR HOME BLESSED PLEASE CONTACT US."

Parish Secretary moved home in September 2004 and requested employer the Parish Priest Fr. Larry White to bless the new home. Finally after 'many' reminders mid 2005 he came to bless the house and as a Thank You was offered evening dinner. THE DINNER WAS EATEN - THE HOUSE WAS NOT BLESSED AND HE NEVER CAME BACK TO BLESS IT OVER 3 YEARS LATER. He rushed off after dinner to a Parish Meeting NEVER TO RETURN TO BLESS ANYTHING!

If you are a Parishioner in Queen of Peace don't hold your breath to have your home blessed try another Parish is our experience.

The home in question will never be done now as the Parish Priest has ignored the Secretary and treated her like a leper for 3 years and even though he is still her Parish Priest in her Parish Church does not speak to her.

Other section for readers attention is

"THERE IS ROOM FOR EVERYBODY AND ALL ARE WELCOME".

Again this is NOT true. Parish Secretary was thrown out of Parish Council and Liturgy Group and refused permission to be a Minister of the Eucharist so if you are not a PERSONAL FRIEND of the Parish Priest YOU ARE NOT WELCOME and THERE IS DEFINITELY NOT ROOM FOR YOU. Again this is from PERSONAL EXPERIENCE.

This same letter goes out each year - it is definitely not sincere.

Why has this Parish literally "Gone to the Dogs"?

Those higher up the scale don't bother to look in to complaints or do anything about them.

QUEEN OF PEACE PARISH LETTER NEEDS CORRECTIONS!!!!
QUEEN OF PEACE PARISH LETTER NEEDS CORRECTIONS!!!!

author by Justice 4 Margaret group members - Justice 4 Margaretpublication date Sun Jul 06, 2008 15:41author email justice4margaret at live dot comauthor address author phone Report this post to the editors

This is a scan of signatures of families who live in close proximity to Our Lady Queen of Peace Church and who signed a petition for the Reinstatement of Margaret as Secretary. There are 560 signatures on the sheets shown in the scan.

PETITION FOR REINSTATEMENT OF SECRETARY
PETITION FOR REINSTATEMENT OF SECRETARY

author by Damienpublication date Sun Jul 06, 2008 20:33author address author phone Report this post to the editors

"The tribunal found she acted in a manner that justified her dismissal when she became infatuated with the parish priest."

http://www.independent.ie/national-news/infatuated-secr....html

"A psychiatrist who evaluated Ms O'Hehir said her ''clinical presentation is consistent with a diagnosis of morbid infatuation, which is a variant of erotomania'."

http://www.independent.ie/national-news/infatuated-secr....html

"Erotomania is a rare disorder in which a person holds a delusional belief that another person, usually of a higher social status, is in love with him or her........The term erotomania is also sometimes used in a less specific clinical sense meaning excessive pursuit of or preoccupation with love or sex. ."

http://en.wikipedia.org/wiki/Erotomania

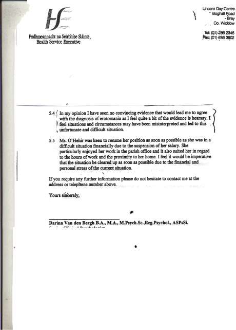
author by Justice 4 Margaret group members - Justice 4 Margaretpublication date Mon Jul 07, 2008 03:26author email justice4margaret at live dot comauthor address author phone Report this post to the editors

The said doctor was bought and paid for and chosen by the employer who was in a major employment dispute with the employee. Medical ethics were broken in that instead of a fair impartial evaluation the employer who is a trained psychotherapist himself gave 2 hour briefing to said psychiatrist outlining the exact scenario in order to get the diagnosis he bought and paid for. The Secretary's legal team have this exact briefing and story given to the psychiatrist by the Parish Priest.

The psychiatrist admitted under cross examination that HE DID NOT CONSULT THE SECRETARY'S GP OR TALK TO HIM OR EXAMINE HER 35 YEARS OF MEDICAL FILES IN HIS POSSESSION, DID NOT GET A SECOND OPINION FROM A COLLEAGUE OR ANYONE ELSE, DID NOT DO ANY KIND OF PSYCHOLOGICAL TESTS AND DID NOT EVEN ASK FOR A SECOND VISIT TO BE SURE OF HIS DIAGNOSIS. It came down to DO YOU BELIEVE A PRIEST WHO 'SHOULD NOT' LIE OR AN ORDINARY CITIZEN AND GUESS WHO WON????

We have seen from all the Church abuses over the last 50 years that all you get from the Church is lies and lies and more lies and cover ups. The servants of the Church are those telling the lies. That now goes without saying.

As it says IT IS A DIFFICULT TO DIAGNOSE CONDITION yet this stranger met the Secretary for 2 hours had a little chat about her life from early childhood and at the end of it having already made up his mind after being BRIEFED by the Parish Priest had made this damning diagnosis without a physical shred of evidence only HEARSAY from the employer who wanted rid of his employee because SHE KNEW TOO MUCH.

What she knew was discussed at the Tribunal but was airbrushed out of the reports issued to the press to save the blushes of the Church and its servants but this case will not die it will hit the headlines again and this time there will be many red faces within the Church.

Subsequently Secretary went to her GP and he disagreed with the diagnosis and sent her to HSE Senior Psychiatrist who saw her 2 or 3 times and who also has given a letter stating that he could find NO SIGN OF EROTOMANIA AND COULD NOT TREAT AND DRUG SOMEONE FOR SOMETHING THEY DON'T HAVE.

Said HSE Psychologist in turn to prove this fact sent the Secretary to his Senior Clinical Psychologist for about 5 visits and to do psychological tests which she passed with flying colours. THIS PSYCHOLOGIST COULD FIND NO EVIDENCE EITHER OF EROTOMANIA AND WAS QUESTIONED UNDER OATH IN TRIBUNAL AND STATED SAME AND ISSUED A LONG AND DETAILED REPORT TO THIS EFFECT.

Papers reported what they wanted to sell them. Scandal makes headlines as does editing the truth.

IT SHOULD BE NOTED THAT THE TRIBUNAL DID NOT FIND THAT THE SECRETARY SUFFERED FOR ANY FORM OF ILLNESS BUT THE PARISH PRIEST HAD TO GET RID OF HER SO IT WAS A CASE OF FIND SOMETHING ELSE AND THEY DID HENCE THE APPEAL.

The Medical Council were requested to investigate the methods used by the Parish Psychiatrist and refused to investigate. You know the story big organisations with power and money don't have to do anything they don't want to. To that end it is definitely not finished.

This case will GO ALL THE WAY TO EUROPE TO RUBBISH THIS REPORT ONCE AND FOR ALL.

NOBODY BUT NOBODY HAS THE RIGHT TO RUIN SOMEONE ELSES LIFE LIKE THIS ON A WHIM.

There is one MEP waiting in the wings should things get out of hand at local level but all routes must be first exhausted in Ireland before we take it there but there we will if we must.

Heads within the Church are going to roll for doing nothing about the situation when it started and they all knew what was going on so now it has mushroomed and got out of hand and of course they will come up with an easy solution as they always do to cover tracks and make their side look good but our group will not take easy answers and cover ups. There have been too many victims of the Church and from day one this Secretary was not going to be another one when she knew she was the scapegoat the patsy and she knew the truth so she had to be discredited.

Keep watching this page because there will be a lot of developments in the Queen of Peace Parish in the short and long term and they will be worth waiting for.

author by Justice 4 Margaret group members - Justice 4 Margaret Grouppublication date Mon Jul 07, 2008 03:41author email justice4margaret at live dot comauthor address author phone Report this post to the editors

There are many of these Devil's around who don't give their name or email.

They hide amongst the Church in disguise. Some wear collar for status some don't. Those who don't only wear when it serves a purpose at legal hearings to give them STATUS.

Be a good boy Damian and get real. The Church loves to con us but have been OUTED so much now it is getting to be a game of sport as to whose head is next to roll.

Heads will roll before this case is over and the truth is out there as they said in the X-Files.

author by Justice 4 Margaret group members - Justice 4 Margaret Grouppublication date Mon Jul 07, 2008 19:01author email justice4margaret at live dot comauthor address author phone Report this post to the editors

This link below will bring you to a very interesting item where the Archbishop of Dublin Diarmuid Martin states there is a greater need than ever for lay people to participate in the everyday running of the Church.

That is why the Parish Council's were set up recently.

Only problem with this SPECIAL INSTRUCTIONS on this topic will have to be sent to Our Lady Queen of Peace Parish in Bray and its Parish Priest Fr. Larry White as he has not adhered to the instructions so far. Those in the Parish Council and Liturgy Groups can be 'dumped' AD NAUSEAM by him with no appeal process or justification.

Those who are first to apply to become a Minister of the Eucharist and who have done the weekly Eucharistic Adoration in the Parish for 16 years, attend daily Mass and Communion, are members for over 40 years of The Pioneer Association of the Sacred Heart have been turned down for this Ministry in Queen of Peace yet there is a shortage of Ministers in the Parish with those retiring through old age or ill health, holidays, moving away, giving up because they do not like the way things are going in the Parish at present etc. etc. and often at Mass one of the Ministers will be missing or as in the case recently both of them.

The Bishop and Archbishop got a letter about this blatant DISCRIMINATION against a Parishioner wanting to serve the community and take Communion to the sick and housebound but they would not intervene and did not want to know.

There is no equality in the Catholic Church no matter what they preach and no justice, caring or Christianity.

Related Link: http://clericalwhispers.blogspot.com/2008/07/archbishop-of-dublin-sees-greater-role.html
author by Damienpublication date Mon Jul 07, 2008 21:34author address author phone Report this post to the editors

Margaret ( why do you refer to yourself in the third person ? ) ,

Do you accept the tribunals finding that your sacking was justified?

Do you admit telling the priest that you had loved him for three years?

Do you still admit that some of the cards you sent were inappropriate?

Do you accept the tribunals findings that you acted "unusually" ?

Did you continue to give the priest erotic gifts, even tho he protested?

author by Justice 4 Margaret group members - Justice 4 Margaret Grouppublication date Tue Jul 08, 2008 09:34author email justice4margaret at live dot comauthor address author phone Report this post to the editors

Damian ?? as you had the 'front row hot seat' at the hearings there is no need to reply to the questions - you know the answers already and can see most of them in previous postings above so we don't want to bore the 'Masses'. Enough of that at Q of P on a daily basis.

The Secretary knows the tactics 'psycho-babble' analysis right? so is not 'falling for' this one.

When there has been 'silence' for just 3 years a 'major nerve' must have been hit to bring Damian out from under the rock to deem to address a mere mortal.

What IS IMPORTANT is the future and in what direction it is going -

l. Equality Tribunal hearing in Dublin.

2. Unfair Dismissal Appeal to the Circuit Court.

When results are in there will be something more newsworthy.

Thank you for your interest in these postings. They are worth a read.

The 560 Parishioners who signed petition + friends of Margaret4Justice.

author by Pat Byrne - nonepublication date Tue Jul 08, 2008 21:32author address author phone Report this post to the editors

Why do you not post your full name?
Are you aware corruption goes on in the church?
Did you not see the clip from Margarets local media that says she put out her newsletter to keep her GOOD name in tact?
Did you look at the pictures of who has their arm around who?!
Do you believe everything you read in Tabloids?
Are you aware of the massive local support for Margaret? (IE THE PEOPLE WHO DELIVERED HER NEWSLETTER!).
Do you believe everything the church says?
Are you hiding under a false name?

author by Damienpublication date Tue Jul 08, 2008 22:14author address author phone Report this post to the editors

"Why do you not post your full name?"

I'm under no obligation to. The poster of this article didn't use any of their name ( even tho its obvious that its yourself Margaret\Pat , so why should I?

"Are you aware corruption goes on in the church?"

Yes, but this is not a case of corruption, its clearly a case of a mentally ill woman being dismissed for her inappropriate behaviour. You can't really have expected to declare that you love a priest, and give him inappropriate gifts, and still keep your job?

"Did you not see the clip from Margarets local media that says she put out her newsletter to keep her GOOD name in tact?"

I saw the clip reporting Margarets claims that she was "keeping her good name intact". Big difference.

"Did you look at the pictures of who has their arm around who?!"

Are you claiming that the priest was in love with you Margaret???

"Do you believe everything you read in Tabloids?"

This story was reported in many reputable papers, not just tabloids. I'm pretty sure the tribunals finding is that the dismissal was appropriate, and this would make sense from what I have read. Even the effort being put into this article sounds obsessive to me.

"Are you aware of the massive local support for Margaret? (IE THE PEOPLE WHO DELIVERED HER NEWSLETTER!)."

There is no "massive local support". Margaret has clearly got a mental illness, and its pretty obvious.

"Do you believe everything the church says?"

No - I have particular disagreement with them regarding the Jesus\God part of things, buts thats for another day.

"Are you hiding under a false name?"

No, but if I was would it make a difference? The poster of this article is behind a pseudonym also.

author by Donald Duckpublication date Tue Jul 08, 2008 22:25author address author phone Report this post to the editors

From the Irish Times ( hardly a tabloid ) :

"Priest's dismissal of secretary justified

The tribunal heard evidence that Ms O'Hehir told the priest she loved him and sent him gifts, notes and cards, including Valentine cards, that "amazed", "shocked" and "alarmed" him."

Also interesting to read Margarets two blog entries on the topic, where she claims that this priest has "a hidden woman" and that she is being harassed by the Gardai "for no reason".

Most oddly of all is the bizarre claim that parishoners money is being used to "persecute" her... even tho its been made clear that the insurace company is defending the church from this rediculous claim.

Related Link: http://www.irishtimes.com/newspaper/ireland/2007/1115/1194550405374.html
author by Justice 4 Margaret group members - Justice 4 Margaret Grouppublication date Wed Jul 09, 2008 13:27author email justice4margaret at live dot comauthor address author phone Report this post to the editors

THESE FACTS ARE STATED ‘WITHOUT PREJUDICE’ TO ANSWER Damian and Donald Duck’s postings.

FACT: Sunday Tribune published in paper around February 2007 that they had received a tape and allegations about Parish Priest and named him in paper. They said allegations were untrue.

FACT: Bray Gardai confirmed they have a copy of tape when asked if it really existed.

FACT: Parish legal team at Tribunal plus Gardai said that ALL Parish Council members and others got copies. (Therefore lots of them in the Parish hidden behind rose tinted glasses must know EXACTLY what is going on). On enquiries from some of those people who were supposed to have got a copy so that Justice4Margaret could hear it 5 or 6 at least that were spoken to did not get tape or never had it but if the others did then it is the word of those above.

FACT: The Church Vicar Forane based in Greystones the person above Parish Priest in rank has heard this tape and knows its contents. We would assume he has informed Archbishop Diarmuid Martin of same. Why keep it from him?

FACT: UK Barrister and Irish legal team have a copy in CD format and hard copy transcripts. Transcript cannot be published here for legal reasons but may be introduced in the Circuit Court if appropriate.

FACT: The CD was taken to Tribunal as proof of what were classed as ‘false allegations’ to prove they were not but Church and legal team blocked it being brought in to evidence which would have cast a different light on the whole proceedings.

FACT: UK Barrister applied to the Unfair Dismissal Tribunal for a Witness Summons for said ‘lady’ mentioned by Damian or was it Donald Duck (both of whom sound like PP) to appear but it was strenuously blocked by the Church and the PP’s legal team who were in near hysterics. Why was this? If there is nothing to hide why not appear and answer a few simple questions?

FACT: The CD clearly identifies the two voices male and female naming each other (we are giving no names but use your imagination) and for anyone familiar with the parties involved there was no need for names as those speaking are clearly identified by hearing alone. We think EVIDENCE of this kind VERBAL PROVEN DECLARATIONS of love go a long way towards HARD EVIDENCE unlike hearsay from third parties and a few funny cards. The female voice is NOT that of the Secretary.

FACT: If there was nothing ‘to worry about’ on the CD why was it not allowed to be introduced into evidence by the Church???????????????

FACT: Does Secretary think the PP is in love with her?

Absolutely not a man who hates another person with such venom as he seems to hate the Secretary and to dismiss her the way he did would not love the person. It would be described as a ‘morbid excessive hatred’ for another individual – I am sure that is out there in a medical dictionary somewhere. Damian said Secretary acted ‘unusually’ do you not think it is ‘unusual’ for someone to ‘hoard little homemade computerised cards and a few golfing gifts and bits and pieces in a little box like trophys under your bed for over 3 years not to use or enjoy or even bother with and then to use them to fire someone? Most ‘normal’ people would toss them in the bin or put them in sale of work as Secretary did with 2 of the gifts which were returned to Parish.

It was a normal working relationship and as Parishioners of the Church in Bray would know said PP was ‘rarely around’ having other business to attend to so there was not even that much contact between both individuals over the 3 years as the Secretary did ALL the Parish administration herself which Canon John MacMahon can confirm should anyone bother to ask him.

FACT: To get all of this mess sorted out once and for all why not have PRIME TIME INVESTIGATES do an indepth investigation as people love Church stories. That would bring all the skeletons out and give them a shake up and prove Secretary is in the right. Anyone know the RTE team? The Secretary has nothing to hide and would welcome this as the big guns in RTE and their power and might like that of the Church would be able to get a full investigation via the Medical Council in Ireland as to the methods employed by the Doctor who gave the damning report on the Secretary. That is the only thing that the Church has – when it is gone it is ‘good night Vienna’ to Fr. White’s claims. We have been told ‘It would be PROFESSIONAL SUICIDE’ for said Doctor to even ease back on his report so it will be disproved in due course by the powers that be and hopefully someone in RTE will take up the crusade. Gerry Ryan was very interested in this case some months ago and wanted further feedback. Maybe HE will do a special and get to the bottom of it?

FACT: Clearance of Secretary's mental health has come in writing and verbally from HSE Senior Psychiatrist, HSE Senior Clinical Psychologist that were not bought and paid for but paid by the State and Health Service so were impartial evaluations and tests and GP of 35 years also has the same results and medical files.

FACT: Can we ask that Fr. White goes under a mental health evaluation and give us the results? What is good for the goose is good for the gander!!! From observation of his persona around the Parish the past few years its looking ‘dodgy’.

FACT: It is because of this scapegoating of Secretary to 'cover up' hidden agendas that this legal process has been taken.

FACT: When Garda who are servants of the State and supposed to be neutral suggest you ‘draw and line under it and drop cases against the Church’ that is interference and harassment. They like the Parishioners in the Parish should not take sides. Since when does someone who has not committed a murder or rape or serious bodily assault on another person or a known drug dealer have themselves fingerprinted and DNA taken on a Bank Holiday Sunday? Ditto with 3 hours of questioning late at night ‘under caution’? Is Ireland a Police State now? What gives a PP the right to lift the phone and order all of this?

FACT: As a result of the ongoing case the past 3 years ‘takings’ in the Queen of Peace Outdoor Collection has gone down we have heard by way of protest by some Parishioners. When Secretary was there 3 years ago it was announced each Sunday that the collection was mostly around Euro1000 or over a week the odd time dropping down. Over the last 3 years it has dipped a lot being anything from around 600 (or less the odd week) upwards and the odd time going over the Euro1000. Three years later it should have been increased a LOT to maybe 1500 not gone down massively. Ditto we would say for the 3 times yearly dues as we know for a fact not all the correct people even get their envelopes or boxes any more to return things. Such inefficiency, my, my, my.

FACT: Secretary has paid Euro 26,000 so far in legal fees (and would not spend that kind of money if she had not something to prove) whereas Fr. White has not spent a cent of his OWN money. Parishioners are in a ‘roundabout way’ paying his fees even if the Insurance at the end of the day coughs up BECAUSE their donations in the OUTDOOR collection (which has gone down) is used for the day to day running of the Parish which includes the payment of the hefty fees of up to Euro 10,000 FOR THE PREMIUM OF THE INSURANCE THAT IS PAYING THE LEGAL FEES. Therefore it was a ‘truthful’ statement to the tune of the Premium amount Parishioners are paying.

FACT: This paying out by insurance is just continuing along the same lines as paying out all the other VICTIMS of the Church the abuse victims men women and children so it is really not that different – abuse comes in all forms and disguises and the Insurance Company’s keep paying for CLERICAL ERRORS.

FACT: Parish broke Labour Laws not once but 4 times IS THAT NOT ‘UNUSUAL’ if you need unusual facts on both sides.

1. Rights Commissioner stated same in his judgment making award to Secretary for having no written contract for the 3 years+ that she worked for Fr. White.
Her claim was upheld as valid and Fr. White and the Parish were held in breach of Labour Laws. (Can scan and post entire document if anyone wishes).

2. The Unfair Dismissal Tribunal found that Secretary was dismissed by unfair procedures and again an award was made against the Church and Fr. White (which he has not paid and appealed against like they can make new rules just for him). (Again this portion of original document can be scanned and published if anyone wishes).

3. FAS CE Community Employment staff are not allowed under the rules to take another person’s private job yet for 7 months Fr. White put a selection of CE staff into the Secretary’s job after he dismissed her against FAS and Labour Rules with Government paying their salary. He was eventually told to take the person out of the office which he did. Secretary had been there over 4 years and worked 10 to 4 p.m. (You can read this in FAS letter about porn already
scanned).

4. Women have the right to be able to work in a 'porn free' workplace and when 2 women make a complaint and it is ignored by the Parish Priest something is wrong. Under Labour Laws such complaints if not satisfactorily dealt with at the time of the complaint can be taken to the Equality Tribunal which is happening.

FACT: Have you ever heard of Michael Cleary, Bishop Eamon Casey????????????????????? Nothing is being implied we are just curious.

author by Justice 4 Margaret group members - Justice 4 Margaret Grouppublication date Thu Jul 10, 2008 11:02author email justice4margaret at live dot comauthor address author phone Report this post to the editors

Church has just become a business.

http://clericalwhispers.blogspot.com/2008/07/vatican-re....html

author by Patricia McCaffertypublication date Fri Jul 11, 2008 04:27author email pmcdesign at yahoo dot ieauthor address author phone Report this post to the editors

This Case is about Labour Laws and the clear breach of these by the Priest and FAS, therefore the comments directly attacking Margaret are just personal attacks to intimidate her.

As a person that is an outsider (from Donegal) reading this case the Church and certain contributors to this page especially Damien are coming accross as bullies that want Margaret to go away and keep silent.

TURN THE OTHER CHEEK TO THE BULLIES

Keep up the good work Margaret, people I spoke to up here in Donegal are disgusted what the Clergy are putting you through.

The CLERGY are NOT above the LAW

author by Lorraine O'Brien - Lorraine O'Brien Antiquewpublication date Sun Jul 13, 2008 13:27author email lorraineobrien at rocketmail dot comauthor address author phone Report this post to the editors

We are all noting that the Parish Priest is a fast mover now and can have items removed.

Margaret you are the ONLY ONE on this site that has backed up anything you say with photocopies of PROOF, PROOF of porn amongst staff at Our Lady Queen of Peace Parish in Bray, PROOF that what Parish Priest says in his letters to Parishioners is NOT FACT, PROOF also in showing that you WERE a member of PARISH COUNCIL signed up by Archbishop Diarmuid Martin in group photo with him from Council no less yet Parish Priest a mere underling in the guise of one Fr. Larry White throw you out of the Council that HE the Archbishop had signed you up to.

Does the Archbishop NOT have a say in people undermining his authority as this mere Priest seems to do.

Your Grace Archbishop Martin are you afraid of what skeletons will further drop out of his box if you were to rein in or reprimand this rogue radical Priest? Is he a danger to you and the Church by what else may be revealed i.e. his dealings PROVEN with Frank Dunlop and Mahon Tribunal in the scans above THEY ARE PROVEN on the internet can be seen in Tribunal transcripts and in the REPUTABLE IRISH INDEPENDENT special edition paper on the internet going back to SPECIAL MAHON EDITION 2000.

The fact is if anyone cares to check with Eckhart House Dublin that Parish Priest did train there. This can be confirmed by other Priests who were attached to Bray Parish a Fr. Pat Reilly and an ex Parishioner a Mrs. Helen Doherty both of whom also took training courses there and these were lengthy certified courses so that they are qualified to do Counselling.

Mrs. Doherty now has a down country house where she can use the training. I am sure her courses can be checked in local phone book which must be backed up by her attending Eckhart and qualifying even if they deny by phone. Fr. Pat Reilly also uses it in the course of his priestly duties. This training like any can be used to do good or BAD.

The BAD is to be able to write up a negative report on another person to use it against them. Most do NOT do that but ONE has and it is in the hands of legal profession in Ireland.

Like with the Politicians these things when it suits can be covered up and deny, deny, deny all but it is the truth so PROVES the corruption within the Church.

I know that the Secretary was REFERRED to Eckhart House by the Parish Priest to chat and went about 8 times in 2004 but if you phone up that will most likely be a denial too and they will say like medical and legal and CATHOLIC CHURCH profession that it is confidential or did not happen but the Secretary has appointment cards to show it is true but they will deny.

MARGARET SCAN AND SHOW THE APPOINTMENT CARDS FROM ECKHART GIVEN TO YOU BY THE PERSON YOU SPOKE TO AND PROVE AGAIN LIKE ALL YOUR ENTRIES IT IS TRUE. Show all these liars up for what they are. DO IT LATER TODAY because the Church will report this notice and have it taken off too because it will again show them up for the lies they tell.

Why did Parish Priest have them removed???? Because they are the TRUTH. PROVEN he cannot DENY for that reason.

I wait to see those cards.

Lorraine

Related Link: http://www.eckharthouse.ie
author by Bernard McGowan - Bernard McGowanpublication date Sun Jul 13, 2008 14:22author email bernardmcgowan72 at gmail dot comauthor address author phone Report this post to the editors

Were you not promoted in the media as CARING, FAIR, BELIEVES IN JUSTICE, ANTI-DISCRIMINATION, STAND UP FOR THE UNDERDOG?

Let us see a little caring, fairness, justice, an end to discrimination of this ex employee and Parishioner of Our Lady Queen of Peace and you taking an interest in how your Priests around the Diocese are actually doing their job.

You must have heard noisy rumblings from Queen of Peace for almost 3 years now - why have you not done something ANYTHING to resolve the situation and investigate this servant of God in the Parish who seems to have lost the run of himself and become a Dictator?

Please YOUR GRACE, before the Church is desecrated any more by rogue Clergy bent on destruction of the faith of our forefathers to the discredit of the Catholic Church in Ireland DO SOMETHING.

What more proof do you want of the shady dealings, porn in the church, unfair dismissal and scapegoating of good staff in the Church to get you interested and out there seeming to do something?

It is not enough to LET THE PARISH INSURANCE take care of Clerical Errors any more. There should be accountability. Why should insurance companies continue to pay out in this economic climate for obvious MISTAKES amongst clergy?

author by Justice 4 Margaret group members - Justice 4 Margaret Grouppublication date Sun Jul 13, 2008 20:27author email justice4margaret at live dot comauthor address author phone Report this post to the editors

There are so many doubting Thomas'es in Our Lady Queen of Peace who can believe a silver tongued Priest that they cannot see the wood for the trees.

Proof they say. What are all the postings here. Written confirmed proof by way of letters scanned, links to Mahon Tribunal regarding Fr. White, the Press Conference would be specifically to let anyone present hear the CD that has been brandied about as the ultimate and absolute proof positive for all ears to hear.

Watch the Church rush to stop it. If they do what have they to fear? The truth out AT LAST for all to hear and a Parish Priest may ride into the sunset?

Those who attend Queen of Peace will instantly identify the voice who also as happens identifies themself. You can hear the full thing what each say to each other. Everything here is not an accusation but a Statement of Truth.

THAT IS THE REASON PARISH SECRETARY WAS DISMISSED. SHE KNEW TOO MUCH ABOUT PRIVATE LIVES AND ROCKED THE CASH COW BOAT BY COMPLAINING ABOUT PORN IN THE FAS WORKPLACE. SHE WAS SACRIFICED AND DISCREDITED TO COVER UP THE ROT.

What does it take for people to believe. Does God himself have to appear on the Altar at Queen of Peace and confirm it?????? It seems so.

Please post here if you want this further and ultimate proof.

It will hopefully get an airing in Circuit Court later but why wait? Let it out now. Why not in fact broadcast the 20 minutes on the Parish Radio now that it is up and running again? What has the Parish to fear? Why not have a coffee morning in Villa Pacis and repeated play it at 30 minute intervals for the unbelievers to believe?

We note those who say the Secretary has a mental illness have not posted their names as they would be sued for slander when it is untrue.

Fr. White's name mentioned in MAHON official Transcript TWICE
Fr. White's name mentioned in MAHON official Transcript TWICE

First page of MAHON transcript giving date etc.
First page of MAHON transcript giving date etc.

author by Damienpublication date Sun Jul 13, 2008 22:23author address author phone Report this post to the editors

Margaret,

You haven't posted proof that you were unfairly dismissed at all.

All of the hearings so far have concluded that your termination was justified and fair.

Your wild claims of conspiracy theory in no way proove that you were unfairly dismissed.

You were fired because you declared your love for Fr White. Do you deny doing this?

Damien

author by Margaretpublication date Sun Jul 13, 2008 23:40author email golfcrazy at iol dot ieauthor address author phone Report this post to the editors

Proof is that Fr. White said he was dismissing me on the grounds of INCAPACITY due to EROTOMANIA. Up until the day of unfair dismissal my work was done 110% so it was a lie and a set up.

I was let go Sept. 2005 with an out of date resignation letter that was not valid. Then I was suspended without pay, then suspended with pay, then pay stopped, then final dismissal did not come for another 6 months until July 2006 with the cessation tax form backdated 6 months from actual date.

That in the rules of Labour Laws was UNFAIR PROCEDURES of dismissal and as I don't suffer from ANY illness it was an UNFAIR DISMISSAL (see scans below).

If anyone DECLARED THEIR LOVE FOR OUR DEAR LARRY it is Peggy. See earlier posting referring to this 'Lady' NOT posted by me. Now who wants to hear the CD?

I AM WILLING TO HAVE AN OPEN PRESS CONFERENCE AT ROYAL HOTEL FOR ALL PARISHIONERS WHO WISH TO BE PRESENT AND ATTEND - FREE TEAS AND COFFEES SERVED - TO HEAR THIS CD AND MAKE UP THEIR OWN MINDS WHO IS IN THE RIGHT AND WHO IS IN THE WRONG AND WHY I WAS DISMISSED. You can view original letter from FAS confirming porn in the Parish too.

In spite of declarations to the contrary it is only a welcoming Parish for strangers not for many of its own.

I grew up in the town and have lived here for 59 years. The Parish that is supposed to support us as one of their own are the very ones who have cast the stones and turned their backs and their noses in the other direction. Such Christianity.

How would any of these Christian Parishioners like the same thing to happen to their own mother, sister, daughter to have their name taken like mine has with lies and treated like a leper.

When we meet our maker we have to answer for our wrongdoings. I would not like to be in the shoes of a certain Parish Priest when he knocks at the gate of St. Peter and is asked to give an account of what he did to his ex-employee.

I am sure many attend the same GP as I do. You can see from scan he rubbishes the 'erotomania' tag given by Fr. White and his bought and paid for Doctor mentioned in the letter. 35 years of my medical files are at this practice.

Also scanned part of the HSE INDEPENDENT REPORT also stating the same thing and this was after several attendances to get proof positive and psychological tests. Third item is the clearance from Dr. O'Shea HSE known to many in Bray.

There should be no need to have these here but with a doubting Thomas it is necessary and when there is nothing to hide there is nothing to hide.

All of this came about because the Parish Priest HAS something to hide NOT because the Secretary had any kind of illness whatsoever. Also the FAS cash cow for the Parish may have ended due to the report of porn in the Parish Centre hence cover up but letter of proof is posted earlier.

GP DISAGREES WITH PARISH DR. DIAGNOSIS
GP DISAGREES WITH PARISH DR. DIAGNOSIS

HSE SENIOR PSYCHIATRIST DISAGREES WITH PARISH DR. DIAGNOSIS
HSE SENIOR PSYCHIATRIST DISAGREES WITH PARISH DR. DIAGNOSIS

HSE Clinical Psychologist DISAGREES WITH PARISH DOCTOR
HSE Clinical Psychologist DISAGREES WITH PARISH DOCTOR

author by Damienpublication date Mon Jul 14, 2008 00:05author address author phone Report this post to the editors

Margaret,

Its pretty clear from these scans that you have digitally altered the content. Why don't you publish the original and unaltered version?

Why are you afraid to publish the *full* reports?

author by Margaretpublication date Mon Jul 14, 2008 00:15author email golfcrazy at iol dot ieauthor address author phone Report this post to the editors

Due to the last postings how do the wonderful Parishioners feel now with their mental health accusations?

I hope you feel proud that you were taken in by lies going around and originating at the top in the Parish to cover their tracks of why they let a good person go and then rubbish her good name and reputation.

Now you can see why there is a legal fight to right the wrongs that have been done. This legal fight will NEVER end until their is justice.

There are people out there with God given mental illnesses but it is sickening the stories that have been told about me the past three years and the lengths I have had to go to through the HSE medical system to disprove the lies.

Now we know why there is such stigma attached to mental illness because of the way others look at those who genuinely have this illness and there are many in the Parish who have children born with all kinds of mental disabilities and my heart goes out to them and anyone else who suffers because I can see now how they are treated and judged and belittled through no fault of their own but for people to do it to someone who is 100% sane it is UNFORGIVABLE so absolute shame on all of you in the Parish who believed it.

I feel no guilt saying this because I grew up with most of you who now shun me daily. You would not treat a dog like this so welcoming Parish and its community - where ARE your Christian values of caring? Where were any of the other 19 members of the Parish Pastoral Council when I was dumped out of it? If one of you had been dumped I would have stood up for you and voiced my disagreement but then I have a conscience and care as I did for every one of the Parishioners who crossed my office door in over 4 years at the Parish but when people turn on you the boot is stuck in and you are gone and buried in a second. Again shame on all behind this.

None of you know ANYTHING about the Parish Priest - he is just passing through for a few years. Have you seen all the rogues in the Church now coming out from under their rocks in the news daily and at the time of problems nobody believed that they were anything but images of God - but they were eventually proved wrong. So shame again to judge that just because a man is a Priest he can do no wrong. Remember he is a MAN FIRST and if we are lucky a good Priest.

THE TRUTH WILL COME OUT then you can all hang your heads in shame.

Here is the scan of the ECKHART HOUSE appointment card Lorraine requested. Thank you Lorraine for your support you gave me the 'benefit of the doubt' unlike my townspeople.

Eckhart house appointment card.  That I was ever there would most certainly be denied.
Eckhart house appointment card. That I was ever there would most certainly be denied.

author by Margaretpublication date Mon Jul 14, 2008 00:23author email golfcrazy at iol dot ieauthor address author phone Report this post to the editors

Again recommended to attend by Fr. White past student of Eckhart for training in Psychotherapy for 8 years. Lady whom I attended and spoke to knew him.

BETTER VIEW OF ECKHART card
BETTER VIEW OF ECKHART card

author by Margaretpublication date Mon Jul 14, 2008 00:32author email golfcrazy at iol dot ieauthor address author phone Report this post to the editors

All that is RELEVANT is my clearance to PROVE THE LIES.

However we NEED TO HEAR THE ENTIRE CD Damian to get your full story don't we apart from the taking of God's name in vain and the swearing my goodness won't the Parishioners die of shock and recoil in horror!

The transcript with the Solicitors runs into oodles of pages each getting better. Maybe it will make Number 1 in the charts - Dustin the Turkey can do a take off. All proceeds can go to MY favourite charity.

What date shall l book the Royal for? 8 p.m. is a good time for most people so I just need the date.

Please confirm a.s.a.p. as I need to contact all the national papers that covered the story last October - 11 was it so that they can update the story?

They know of its existence and have been waiting for the hearings to finally get the go ahead to publish but they can go with it after the Royal ok?

author by Damienpublication date Mon Jul 14, 2008 00:47author address author phone Report this post to the editors

What are you waiting for? if you really have some cd that prooves your story , why not publish it here and now ?

Why have you waited so long to release this "evidence" ?

author by Margaretpublication date Mon Jul 14, 2008 01:46author email golfcrazy at iol dot ieauthor address author phone Report this post to the editors

Church blocked it because of its contents and it could not be played at the Unfair Dismissal hearing.

Most of the newspapers have heard it and copied it on to their laptops at the time of the hearing results but cannot use it because they would be sued out of business by the Irish Catholic Church if they published it prior to it getting in to the public domain at a hearing.

For the same legal reasons it cannot be printed here but if the Queen of Peace Parishioners really want to hear it they are the ones that I am concerned with because they are the ones who have up until now believed the Parish Priest's side of the story and this can put an end to it once and for all so if they want proof they can have it BUT wait and see the Church will block it AGAIN.

The Church has the power and the money to do anything even ruin your life with THEIR one medical report by a Doctor who did no tests, no consultation with GP, no checking of medical records, no 2nd opinion and no 2nd visit and at the stroke of a pen can ruin your career and your life. It comes down to money and power not truth and justice.

If Dr. DAMIAN Mohan as the Doctor happened to be who assessed me had got the opportunity to listen to the CD he would maybe then have seen Fr. White in a different light and not have accepted his briefing.

In fact it should not have been accepted anyway. An independent assessment does not have a briefing by the other party to a dispute before it. That is common sense is it not?

IF YOU WANT TO CHECK THE EXISTENCE OF THE CD YOU CAN AT ANY TIME PHONE THE VICAR FORANE FR. ENDA LLOYD PARISH PRIEST OF GREYSTONES. HE HEARD IT IN MY PRESENCE IN ALL ITS GLORY! Will he deny that he heard it? It is my guess he won't as I think he is a man of God but he may just say 'no comment'.

author by Margaretpublication date Mon Jul 14, 2008 01:53author email golfcrazy at iol dot ieauthor address author phone Report this post to the editors

If you want the name of the Bray Garda who confirmed they have the CD and have heard its contents it is Detective Garda John McDonnell the same person who questioned me for 3 hours, took finger prints and DNA samples (and basically treated me as they would a criminal with a Police record.)

Records of my visit would be with Bray Garda.

I don't lie they are there.

Who ever heard of such heavy handed tactics being used for a dismissed Parish Secretary?

Surely it was to silence me, scare me off and make me go away?

I am going nowhere until the truth comes out and justice prevails.

author by Justice 4 Margaret ANN & MARIE - Justice 4 Margaret Grouppublication date Mon Jul 14, 2008 19:29author email justice4margaret at live dot comauthor address author phone Report this post to the editors

http://www.dublindiocese.ie/

This is the link to the website of Dublin Diocese where you will get email address and phone contacts also mailing address of the Archbishop.

We post this here for the information of anyone who may like an explanation from him as to why the CD mentioned earlier was blocked from being played at the Unfair Dismissal hearing. It was very relevant.

Also maybe His Grace Archbishop Martin can explain why the Church blocked a Witness Summons for a Sister Peggy McArdle who was a VERY RELEVANT witness to the case?

If there is nothing to hide why do witnesses not appear? Why are they blocked so strenously by the Church and Fr. White's legal team?

If there is nothing to hide why are CD's not allowed into evidence?

Why has the Church the POWER to block these things unlike the ordinary citizen on the street in such hearings?

Ultimately it comes down to the power, might and money and the best legal teams money can buy.

That is why they also need so much INSURANCE to pay out claims to VICTIMS who continue to this day.

It would be nice if the Parishioners from the so called 'Welcoming Parish of Our Lady Queen of Peace in Bray' took off their rose tinted glasses and sat down and tapped out a few letters or emails to His Grace and get some answers.

From experience we can tell you that you will get NO REPLY but what the heck for a bit of fun try it anyway.

As a second option you could ask the same questions of -

Fr. Enda Lloyd,
Parish Priest,
Parochial House,
Church Road,
Greystones,
Co.Wicklow.

Doubt you will do any better. A Parishioner we know of is still waiting for an apology nearly 3 years later after being 'insulted' in the Parish. They got a letter that Priest would be spoken to but no further word since then but at least they got an acknowledgement to their letter.

Ann & Marie of Justice4Margaret group.

Related Link: http://www.dublindiocese.ie/
author by parishionerpublication date Tue Jul 15, 2008 17:04author address author phone Report this post to the editors

do you margaret never snub anyone? have you said hello or spoken to those whom you say slight you, I know you dont, because I am one of them. Do you think it is normal behaviour to deliberately try to hassle and intimadate a priest, who is unattainable. Maybe there are two sides to this story, but by carrying on the way you are doesnt do you or your cause any good.

author by Robert - Justice 4 Margaret Grouppublication date Tue Jul 15, 2008 17:55author email justice4margaret at live dot comauthor address author phone Report this post to the editors

The Venue is Our Lady Queen of Peace Parish Centre Vevay Road, Bray also known as Villa Pacis. This is the Parish Centre attached to the Church there.

Margaret ex-Secretary will be on duty there serving teas after the 10.30 a.m. Mass as she does every 7th week. She is one of the 3 ladies on Team B.

The reason all are invited is to get proof and to see for themselves the way she is ignored on such occasions by both the Parish Priest and the other Parishioners.

In spite of this she turns up there every 7th week and does her duty as it is the only thing she is still allowed to do within the Parish.

Margaret is on Team B and the teams are in the Newsletter each week so if you cannot make it on August 3 feel free to come the next time she is on duty making teas, serving them and washing up.

These are the ONLY duties open to her in the Parish since she was thrown out of the Parish Council and Liturgy groups respectively and not allowed to be a Minister of the Eucharist.

You can see how welcoming our Parish is on this occasion. Bring your camera or video if you like to record the leper treatment Margaret gets.

TURN THE OTHER CHEEK TO THE BULLIES.

Maybe just maybe the Parish Priest will actually accept a cup of coffee from Margaret on this occasion if the photo opportunity of a camera present is there unlike the other Sundays when he goes in to the kitchen rather than touch a cup that was handled by the Parish leper.

Again TEAM B every 7 WEEKS if you want to be a witness to what is the Gospel Truth about the leper of the Parish.

Related Link: http://www.queenofpeace.ie
author by Robert - Justice 4 Margaret Grouppublication date Tue Jul 15, 2008 19:03author email justice4margaret at live dot comauthor address author phone Report this post to the editors

Those who wish to know what employees and more especially the FAS Supervisor should be doing under the heading of actual WORK in the Parish can check out this website

www.fas.ie

When you see the actual job description of the Supervisor -v- the actual activities of the Supervisor at work you can then make your judgment on a lot of situations in the Parish.

You need to check the FAS site to get this information in details to be able to judge RIGHT and WRONG way of doing things.

author by Sarah Johnston - Justice 4 Margaret Grouppublication date Wed Jul 16, 2008 02:46author email justice4margaret at live dot comauthor address author phone Report this post to the editors

It seems like Margaret's appeal to The Archbishop and Vicar Forane is that of 'A SILENT SCREAM' which is actually a pretty good title for her book if she decides to write one on this whole nasty business - as nobody hears or wishes to take any action.

The Silence from those in the Dublin Diocese is quite deafening at the moment as is any Parishioner actually being brave enough to come out and give their names other than the 560 who already signed up on lists (previously scanned) for her reinstatement - possibly because they will be ostracised like Margaret by the Parish Priest and they do not want that.

It must be nice to sit in the Secretary's chair and know that 560 people have signed their names to say they don't want you there and they want Margaret back in her job? It is food for thought at least isn't it.

Nobody has accepted the Press Conference invitation yet via this site - are they afraid to know the truth? More likely they don't want to be identified!

If you don't want to identify yourself here for fear of retribution you can email direct to the support email for Margaret at

justice4margaret@hotmail.com

to say you are interested in attending. We need numbers and interest before we go to the expense of booking things.

Anyone wishing to contact the Vicar Forane in Greystones the Parish number there to contact is

Tel: (01) 2874278.

Related Link: http://www.dublindiocese.ie
author by Beth - no organisationpublication date Wed Jul 16, 2008 18:49author address author phone Report this post to the editors


Something is not right in the little parish on the hill. I know any time I went to office when above secretary was there that I was met with efficiency and professionalism. Recently I have stopped going to that Church and started attending Johns land up in Dublin. Like many others in Enniskerry, Greystones and Bray I support above Secretary. I would like to ask the following questions:

Will the the little parish on the hill admit that their collections have dropped dramatically?

Will the parish explain the above mention pariests involvement in the Mahon Tribunal and the phonescalls made (as documened in Tribunal evidence?

Could Damien tell us anything about celibacy (haha!!).

Never give up your fight for justice woman because 'Something is rotten in the state of Denmark'-all is not well on the hill.

author by Sarah Johnston - Justice 4 Margaret Grouppublication date Wed Jul 16, 2008 20:50author email justice4margaret at live dot comauthor address author phone Report this post to the editors

The Vicar Forane whose phone number is in Greystones in item above is in fact

Fr. Enda Lloyd the Parish Priest of Greystones.
Tel: 2 87 42 78.

You should just ask for the Parish Priest Fr. Enda Lloyd to avoid confusion!

Sarah

author by Damienpublication date Wed Jul 16, 2008 23:03author address author phone Report this post to the editors

Regarding this "petition".

Firstly has the picture been digitally altered like the other photographs posted? Secondly how many of the "signatures" were actually signed by the people whose names are on the sheet? Is it possible that anybody could have "signed" more than one name ? Over what time span were these "signatures" collected?

Regarding the medical references which you claim verify your "sanity". Why won't you post the original, unaltered medical reports? Are you covering up parts of the report to suit this story of yours? What are you afraid of?

author by Sandra Browne - private citizenpublication date Wed Jul 16, 2008 23:51author email vaticancity2008 at hotmail dot comauthor address author phone Report this post to the editors

Thank you cartoonist Graeme of Mail on Sunday February 3, 2008 source.

Is this Fr. White?
Is this Fr. White?

Number of comments per page
  
locked We are currently not accepting any more comments on this article.
 
© 2001-2025 Independent Media Centre Ireland. Unless otherwise stated by the author, all content is free for non-commercial reuse, reprint, and rebroadcast, on the net and elsewhere. Opinions are those of the contributors and are not necessarily endorsed by Independent Media Centre Ireland. Disclaimer | Privacy